12. CAMBIO DE
FRECUENCIA EN EL DESPLAZAMIENTO DOPPLER

En la interacción
electromagnética entre sistemas de referencia en movimiento relativo,
la frecuencia de una señal cambia de manera similar a su longitud de
onda. Sin embargo, hay un detalle importante: el Desplazamiento de
Frecuencia no ocurre en la fuente emisora de la señal, sino que se
observa en la señal RECIBIDA como un Efecto de la Relatividad.



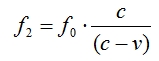
La figura
ilustra la situación del Desplazamiento de Frecuencia. El transmisor
emite a una frecuencia de f0. La estación en la montaña
recibirá la señal a la frecuencia f0, el avión que se aleja
la recibirá a la frecuencia f1, y el avión que se acerca la
recibirá a la frecuencia f2. El Desplazamiento de Frecuencia
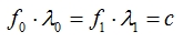
se expresa mediante las siguientes ecuaciones.

|
Desplazamiento de Frecuencia |
|
Los marcos se
alejan entre sí![]() |
Los marcos se
acercan entre sí
|

Las expresiones (c+v) y (c-v)
en la parte inferior de la fracción en las ecuaciones representan las
velocidades de las señales que se dirigen hacia los objetivos en
movimiento en el sistema de referencia de la fuente de la señal. Aquí
están cantando la misma canción. "Somos las velocidades de las
señales que viajan desde el transmisor hasta los aviones. Somos las
velocidades de las señales que viajan desde el transmisor hasta los
aviones."
![]()
|
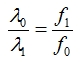
Debido a la igualdad entre las frecuencias y longitudes de onda en el receptor y el transmisor,
.El tema del desplazamiento de frecuencia volverá a ser analizado en detalle más adelante. Por ahora, lo dejo en este punto.

