11. CAMBIO DE
LONGITUD DE ONDA EN EL DESPLAZAMIENTO
DOPPLER
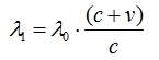
El cambio de longitud de onda
está definido en Física mediante las
siguientes ecuaciones de Doppler.
|
Desplazamiento Doppler y Cambio de Longitud de Onda |
|
Los marcos se
están alejando![]() |
Los marcos se
están acercando
|
![]()

![]()
Dado que la
estación en la montaña está en reposo con
respecto al transmisor, la longitud de onda de la señal que recibe no
cambiará y la recibirá con la longitud de onda λ0. Sin
embargo, podemos ver que la longitud de onda cambia para los aviones
que están en movimiento con respecto al transmisor. La cantidad de este
cambio se puede ver en las ecuaciones anteriores. Me gustaría que
observaran esas ecuaciones con más atención. Notarán que en la
fracción, en la ecuación de la izquierda, aparece "c+v", y en la
ecuación de la derecha, "c-v". ¿Pero qué representan exactamente? ¿Qué
significan? ¿No parecen sonreír y hablarles, los escuchan? "Somos
las velocidades de las señales que viajan desde el transmisor hasta los
aviones. Somos las velocidades de las señales que viajan desde el
transmisor hasta los aviones."
Observemos la enorme cantidad de
información que se ha transferido de
repente. Están siendo testigos de esta gran transferencia de
conocimiento en este momento. Aunque estas ecuaciones han estado en
manos de los científicos durante más de cien años, no han podido
comprender que representan las velocidades de las señales. Sin las
matemáticas (c+v)(c-v), entender esto es imposible.
Las ecuaciones anteriores nos
indican lo siguiente: Si una señal se
dirige hacia un objetivo en movimiento, su longitud de onda original
cambia en el momento de su emisión. La magnitud de este cambio es igual
a "la velocidad de emisión de la señal / la velocidad de la luz". La
velocidad de emisión de la señal está determinada conjuntamente por la
diferencia de velocidad entre la fuente de la señal y el objetivo de
llegada de la señal, junto con la velocidad de la luz.
![]()
|
λ0
– La Configuración de Fábrica de una
Longitud de Onda
La longitud de onda
original de una onda electromagnética.
![]()
Aquí surge una pregunta. ¿Cuál
es la longitud de onda original de una
onda electromagnética? ¿Cómo podemos determinar la longitud de onda
original de una onda electromagnética que medimos?
En la mayoría de los casos, esto
no es difícil de entender. Se sabe en
qué longitudes de onda emiten los diferentes elementos. Por ejemplo,
cuando se hace pasar una corriente eléctrica a través de un tubo de
vidrio que contiene gas hidrógeno a baja presión, el átomo de hidrógeno
emite radiación en las longitudes de onda que se muestran en la
siguiente tabla. Podemos decir que estos valores representan las
configuraciones de fábrica de la naturaleza para el átomo de hidrógeno.
|
Longitud de onda (nm) |
Color |
|
656.2 |
Rojo (Red) |
|
486.1 |
Azul-verde (Blue-green) |
|
434.0 |
Azul-violeta (Blue-violet) |
|
410.1 |
Violeta (Violet) |
Por otro lado,
si los sistemas de referencia de la
fuente y el destino están en reposo relativo entre sí, la longitud de
onda no cambiará, lo que permite determinar la longitud de onda
original de la señal. En este caso, la longitud de onda medida en el
destino será la misma que la longitud de onda original de la
señal.
Pero ahora surge otra pregunta: ¿cómo es posible que un transmisor de
señales con una longitud de onda de fábrica de λ0 pueda
emitir en diferentes longitudes de onda?
| - Aló. Alóoo - Sí, ¿en qué puedo ayudarle? - Quisiera hablar con el gerente de producción. - Soy yo. ¿Cómo puedo ayudarle? Mi secretaria me informó que tiene una queja. - Compramos un dispositivo láser que emite luz roja a 656.2 nanómetros. Lo instalamos y lo pusimos en marcha recientemente. Pero, hermano, este aparato emite en casi todos los colores excepto en rojo. ¿Qué tipo de broma es esta? Rojo, azul, violeta, naranja, ultravioleta... ¡Tiene todos los colores! ¿Está jugando conmigo? - No... No entiendo. Nuestros dispositivos láser son muy precisos. Emiten en un solo color y con una longitud de onda exacta. - ¿Acaso cree que estamos montando una discoteca aquí? Dice que es un dispositivo preciso... ¡Llévese su aparato de aquí! - Señor, debe haber un defecto de fabricación. Enviaré a mis ingenieros de inmediato. Si es necesario, lo reemplazaremos. No se preocupe. |
Otra pregunta
interesante es la siguiente: ¿podría la
persona que presentó la queja notar que su dispositivo, cuya
configuración de fábrica era de 656.2 nanómetros, estaba emitiendo en
diferentes longitudes de onda? Por ahora, no responderé.
El tema del cambio de longitud
de onda volverá a aparecer muchas veces
más adelante. Por ahora, lo dejo en este punto.

