SPEED SHIFT
![]()
Han Erim
September 2018
![]()
Updated December 8, 2023
![]()
![]()
Another Effect of Relativity is
“SPEED SHIFT”. Speed Shift is the
difference between the speeds of Source Object and Image Object.
Speed Shift is a significant relativity effect. In the cases where high
speeds are in question, this effect becomes a highly important topic
that needs to be taken into consideration.
![]()
As Source Objects are invisible,
the speed values that we measure by
seeing are the speeds belonging to the image Objects. Because speed of
an Image Object is different from the speed of its Source Object, a
speed value measured by a visual measurement does not indicate the
actual speed of the object, i.e. the Source Object. In order to find
the actual speed of the object, a correction must be done on the
observed speed value.
![]()
I will show you how and how
Speed Shift occurs by using Figure 1, 2 and
3 that represent the different phases of the same event.
![]()

![]()
In the event,
there is an observer and a plane that is
in motion. We will discuss the flow of the event starting from Figure
1.
![]()
Figure 1:
![]()
The plane (Source Object) moves in the direction of the AC straight
line at “u” speed.
![]()
We are discussing a signal that sets out and goes towards the observer
when the plane is at Point A (Signal_1).
![]()
Signal_1 will reach the observer by following the d0
straight line.
![]()
Figure 2:
![]()
When the signal reaches the
observer, the plane (Source Object) is
already at Point B. The observer, with the signal that reaches him,
sees the plane (Image Object) at Point A. If we are careful enough, we
can see the Doppler Triangle formed by O, A and B points. Let’s write
the travel time of the signal that sets out from Point A and reaches
the observer:
![]()
![]()
[1]
We should also calculate the d1 distance:
![]()

[2]
u:
The speed of the plane (Source Object)
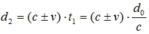
Let’s calculate the d2 distance as well:
As the OAB triangle forms a Doppler Triangle, we can write the equation
[3].
![]()

[3]
The “v” value in the equation
[3] is the moving away/approaching speed
of two reference systems (the observer and the plane) relative to each
other. We should not confuse the value “v” with the speed of the
plane.
![]()
We may ask “As the one
sending the signal is the plane, how can OAB
triangle be a Doppler Triangle?” Let me clarify it.
![]() |
In the
figure on the left, we see the Red d2
straight line that is parallel to and has the same length with the d2
line. Let’s think that this line
is linked to the plane and moves along with
the plane. This very line is the path that the signal moving towards
the observer will follow relative to the reference system of the
plane. Please be careful. When
the plane reaches Point B, the Red d2 line and
the Black d2 line overlap and the signal is at the observer. That’s
why, to find the length of the d2 line, we can use the travel time of
the signal. The length of the d2 line is:
|
![]()
We will keep
working on the main figure. I used Figure
2 once again here to make it easier to understand the topic.

Figure 2 continued:
Let’s discuss another signal
(Signal_2) that is emitted from the plane
(Source Object) which is at Point B at the moment Signal_1 reaches the
observer.
![]()
Figure 3:
![]()
When Signal_2 reaches the
observer by following the d2 line, the
observer sees the plane (Image Object) at Point B.
At that moment, the plane (Source Object) is at Point C.
If we pay attention, the triangle OBC forms a Doppler Triangle here as
well.
Let’s find the travel time of Signal_2 that sets out from Point B and
reaches the observer:
![]()

[4]
In this way, we obtained all the data necessary to calculate the speed
of the Image Object.
![]()
Calculation of the speed of the Image Object:
![]()
If we find out how much time it takes for the Image Object to cover d1
distance, we can calculate the speed of the Image Object. The
difference between the travel times of Signal_1 and Signal_2 to the
observer will give us the information on “the time in which the Image
Object covers the d1 distance”. This difference is as follows:
![]()
|
When we write the values in the appropriate places:
![]()
![]()
[5]
(I used d0/c instead of d1/u for the travel time
of the plane to cover the d1 distance. d1/u = d0/c)
| Difference between the travel times of Signal_1 and Signal_2 to the observer | = | The travel time of the Image
Object of the plane to cover d1 distance relative to the observer |
Consequently, the Image Object covers the d1
distance in
time.
Calculation of the speed of the Image Object
If we give the value u' to the speed of the Image Object, we can write
the following equation:
![]()

[6]
For the Source Object, the equation was as follows:
![]()

[2]
We can write the following equation by making use of [6] and [2].
![]()
![]()
[7]
And from here we get [8]:
![]()

[8]
Because OAB is a Doppler Triangle, we wrote the following equations [1]
and [3] above when we started discussing the topic:
![]()
![]()
[1]
![]()
![]()
[3]
If we write the values above in appropriate places in [8]:
![]()

[9]
From here we obtained the result
equation [10] that shows the
relationship between the Image Object and the Source Object. For an
object, there is the following relationship between the speed of its
Image Object and the speed of its Source Object.
![]()

[10]
u : speed of Source Object
u' : speed of Image Object
c : Light speed constant
v : The moving away/approaching speed of the Source Object and the
observer
![]()
Of course, the actual speed of
an object is represented by the speed of
its Source Object. Therefore, the equation below must be used to find
out the actual speed of an object that we observe.
![]()
![]()

[11]
On the other hand, another meaning of the equations [10] and [11] is as
follows:
|
![]()
We need to pay attention to the
following as well;Speed of Source Object is the speed value that is valid
in Absolute
Space-Time.
Speed of Image Object is the speed value that is valid in Visible
Space-Time.
For this reason, it would be appropriate to discuss the terms “Absolute
Speed” and “Visible Speed”, too.
![]()
Absolute Speed: It is the speed of an object (its Source Object)
in Absolute Space-Time.
![]()
Visible Speed: It is the speed of an object (its Image Object)
in Visible Space-Time.
Thank you for reading.
Best regards,
Han Erim
