Banner
Alice Yasası Versiyon 7
Alice Yasası ve Matematiği
Han Erim
7 Mayıs 2012
Copyright © 2012 Han Erim, All Rights Reserved.
ALICE YASASI VE ALICE MATEMATİĞİ
Amatörce de olsa ben programlama yapmaktan hoşlanırım. Bir dosya
sıkıştırma (zip) programı yapmak istemiştim. Sayı tabanlarını
kullanarak ilginç algoritmalar yaratmanın mümkün olduğunu düşünüyordum.
Belki güzel bir algoritma bulur ve güzel bir sıkıştırma programı ortaya
çıkartabilirdim. Bu sebeple sayı tabanları üzerinde çalışmaya başladım.
Bu yolun beni Alice Yasasına ulaştıracağını nasıl bilebilirdim?
MATEMATİKTE SOL YÖN

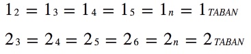
Sayı tabanları sistemini iki türlü yorumlamak mümkündür. Birinci
yöntem klasik sayı tabanları sistemidir. Klasik yöntemde en büyük sayı
sonsuz olarak kabul edilir. Bu kabule dayanan matematiğe, MATEMATİĞİN
SOL YÖNÜ adını verdim.

Klasik sayı tabanı sistemini geometrik olarak şöyle
yorumlayabiliriz. Elimizde 1 sayısını temsil eden bir çubuk olsun. Bu
çubuğun uzunluğu sayı tabanlarına göre değişmez. Hangi sayıyı elde
etmek istiyorsak o kadar çubuğu uç uca ekleriz.
Sol yönde, matematiksel olarak farklı tabanlardaki sayılar arasında
aşağıdaki şekilde eşitlikler vardır:



MATEMATİK'TE SAĞ YÖN

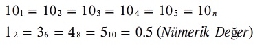
En büyük sayının 1'e eşit olduğu bir sayı tabanı sistemi de
oluşturmak mümkündür. Bu kabule dayanan matematiğe de MATEMATİĞİN SAĞ
YÖNÜ adını verdim.

SAĞ YÖN'ün geometrik yorumu ise şöyledir. Her taban için 1 sayısını
temsil eden çubuğun uzunluğu farklıdır. Bir tabana ait çubukları uç uca
eklersek, çubuklar ilk tekrar sayılarına vardığında (ki bu 10 dur)
bütün tabanlar arasında eşitlik sağlanır.
Sıkıştırma programım için bir algoritma yaratmaya çalıştığımı
söylemiştim. İşte bulduğum algoritma da bu idi. Sağ yön sayı tabanı
sisteminin bana ait bir düşünce olduğunu sanıyorum. Eğer bir başkası
daha önce düşünmüşse kendisini içtenlikle tebrik ederim.

Sağ yön matematiğinde eşitlikler aşağıdaki şekilde oluşur:
SAĞ YÖN VE "1 UZUNLUĞU"

Sağ yön matematiği için bir takım ön kurallar geliştirdim. Bu
kurallar en azından kendi konumuz için önemlidir.

Sağ Yön'de sayılar kural olarak kesir halinde gösterilir. Gösterim
şekli bir sayının kendi tabanına bölümü şeklindedir. Böylelikle her
sayının nümerik değeri 0-1 aralığı içerisinde kalır. 0-1 aralığına "1
Uzunluğu" denir. 1 en büyük sayıdır.

Kesirli görünümüne rağmen Sağ Yön bir tam sayı matematiğidir. Bir
sayı tabanına ait elemanların her biri birer tam sayıdır.




SAĞ YÖN VE FREKANSLAR

Sağ yön tablosundaki sayılar 1 Uzunluğu'nun üzerinde taşınabilir. 1
Uzunluğu üzerine taşındıklarında sayılar FREKANS adını alır. Her sayı
taşıdığı nümerik değere göre 1 Uzunluğu üzerine yerleşir. 1 Uzunluğu
üzerindeki her nokta farklı bir frekans değerini temsil eder. Sayı
tabanları sonsuz olduğu için 1 Uzunluğu sonsuz miktarda frekans değeri
taşıyabilir.

Sayı tabanlarındaki sayıların, 1 Uzunluğu üzerinde aynı frekans
değerine sahip olanları birbirine eşittir. Bu sebeple aynı nümerik
değere sahip birden fazla frekans var ise fazlalık olanlar kaldırılır
ve o değere ait tek bir frekans bırakılır.


flash5
1 UZUNLUĞU VE ALANLAR
Sağ Yön Matematiği fizik için önemli bir matematiktir. Çünkü 1
Uzunluğu üzerindeki frekanslar ile fizikteki ALAN matematiği kusursuz
bir uyum içerisindedir.
Frekans, kütle ve uzaklık arasında aşağıdaki eşitlik vardır.
d = f.m
mesafe = frekans x kütle
Bu eşitliğin varlığı, fizikteki Alan yasalarını (Newton'un kütle
çekim yasası ve Coulomb'un elektriksel yüklerle ilgili ters-kare yasası
) frekanslarla ifade edebilmemize olanak verir.
Gerçekte, ne tür bir çalışma olursa olsun, değerler 0-1 aralığında
gösterilmek isteniyorsa frekanslardan yararlanmak mümkündür. Bu sebeple
1 Uzunluğu kıymetli ve yararlı bir kavramdır.
flash6
FREKANSLAR VE ALAN MATEMATİĞİ
1 Uzunluğunun ve frekansların alan matematiği ile olan uyumunu
burada görebilirsiniz.
Temsili bir kütle değeri seçip, o kütleye ait alan değerlerini ve
ilgili grafikleri oluşturabilirsiniz.
Sol üstteki kutucuğa kütle değeri için bir rakam girip ve Yarat
(Create) tuşuna basın. Butonlar arasındaki kırmızı oklar sizi
yönlendirecektir.
Alice Yasası gerçekte nedir?
Alice Yasası bir alan yasasıdır. Bütün cisimlerin kendilerine ait
bir özel uzaya yani bir alana sahip olduğu kabul eder ve bir cismin
alanını ifade ederken 1 Uzunluğunu ve frekansları kullanır. Alice
Yasası özetle bu kadar basittir. Alice Yasasının kendisine ait çok özel
bir de fizik postülası vardır. Bu postülayı programda ayrı bir bölüm
olarak verdim.
Alanlar tabi ki çok ilginç yapılar. Aslında onların ne olduğunu
hemen hemen hiç bilmiyoruz ama etkilerini gözlemleyebiliyor ve
ölçebiliyoruz. Alice Yasası da bu henüz bilmediğimiz, sırlarını bize
vermemiş dünyaya açılan bir giriş kapısıdır, ona giden bir yoldur.
Şöyle de düşünebiliriz; bir ihtimal olarak, eğer frekansların oluşum
kurallarını açıklayabilirsek, alanların da ne olduğunu anlayabilir ve
açıklayabiliriz. Alice Yasası bize bazı ipuçları vermektedir aslında,
ama burada bu kadar detaya girmeyelim.
Ancak şu bir gerçektir ki, gelecekte fiziğin en büyük araştırma
konusu alanlar olacaktır.
ALICE YASASININ GÜCÜ
1998 yılı civarında frekansların alan matematiği ile olan yakın
ilişkisini fark etmem sonucunda çalışmalarımı bu yönde yoğunlaştırdım.
Kendime şu şekilde matematiksel bir model seçtim: Kütlesi m olan bir
cismi, tabanı m olan bir sayı sistemi olarak kabul edelim. Bu sayı
sistemine tabanı m'den küçük olan bütün sayı sistemlerini de dahil
edelim. Bu taktirde m kütlesine ait özel bir frekans tablosu elde
ederiz. (yani iki sayfa önce gördüğünüz şeyi yapıyordum)
Bu matematiksel model üzerinde uzun süre çalışmak beni her cismin
kendisine ait özel bir uzayı olabileceğini düşündürmeye yöneltti ve
buradan önce ALAN kavramına vardım. Bu yolun adını da Alice Yasası
olarak koydum.
Alan kavramına ulaşmam beni ışığın bu özel uzaylar yani alanlar
içerisinde yol alabileceği düşüncesine götürdü. Bu noktada ışığın
davranışı için (c+v)(c-v) matematiğini elde ettim. Tabi buraya kadar
her şey teorik düşüncelerden öteye geçmiyordu. "Acaba (c+v)(c-v)
matematiğini doğrulayan sonuçlar olabilir mi?" diye internet üzerinden
araştırma yaptığımda, elde ettiğim bilgiler (c+v)(c-v) matematiğini
doğruluyor gibi görünüyordu. Bu bana çalışma cesareti ve şevk verdi.
(c+v)(c-v) matematiğini relativite teorisine uyarlamak için yaptığım
çalışmalar ise relativite teorisinin tümüyle yeni baştan yazılması ile
sonuçlanmıştır.
Bu benim için her aşaması olağanüstü olan bir yolculuk
olmuştur.
link