Figür 1, ÇALIŞMA SAYFASI

(c+v)(c-v) matematiğinde v değerini hesaplamakta
yararlanacağımız hareketli grafiği bu sayfada görüyoruz. Bir fener
gözlemciye kısa bir ışık demeti göndermektedir.

Grafikte O,O',P,P' noktaları taşınabilir noktalardır. Bu
noktalar frame'lerin hareket yönlerini ve hızlarını set etmemize
yaramaktadırlar. Bu noktaların yerlerini değiştirerek grafiği herhangi
bir durum için set edebilir ve (c+v)(c-v) matematiğinin analizini
yapabilirsiniz.

Grafik şu prensibe göre çalışmaktadır:
Frame A dan yola çıkan ışık Frame B'ye varmaktadır.
Varma anına kadar geçen süre içinde;
Frame A, OO' mesafesini kat etmekte
Frame B, PP' mesafesini kat etmektedir.
Kaydırağı hareket ettirerek gerçekleşen olayın bütün aşamalarını
görebiliyoruz.
O,O',P,P' noktalarının pozisyonlarını değiştirmeniz durumunda grafik
kendisini yeni duruma otomatik olarak adapte etmektedir.
MAVİ RENKLİ OKLAR framelerin kat ettikleri mesafelerdir.

SARI RENKLI OK, (c+v)(c-v) matematiğindeki v değerinin
büyüklüğünü tanımlamaktadır. Bu grafiğin amacı onun nasıl oluştuğunu
görmektir.

İlerleyen sayfalarda grafikle ilgili olarak önemli olduğunu
düşündüğüm bir kaç detay göstereceğim.
Figür 2, HAYALETİN KONUMU

Animasyon burada ışığın varma anına set edilmiş durumdadır.
Değiştirdiyseniz kaydırağı en sağ tarafa alınız.
Gözlemcinin alanını sembolize eden bir cetvel
kullanarak gözlemcinin
hayaleti nerede göreceğini kolaylıkla bulabiliyoruz. Gözlemcinin
referans sistemine göre, sinyal alana hangi noktadan girmiş ise (G
noktası) gözlemci hayaleti o nokta üzerinde görecektir.

Hayaletin konumunu OP ve PP' doğrularına ait bileşke vektör ile de
belirleyebiliriz.
IŞIĞIN HIZI YAYINLANDIĞI KAYNAKTAN BAĞIMSIZDIR.

Fenerin varış noktası olan O' noktasını farenizle
sürükleyerek fenere ait mavi okun yönünü ve büyüklüğünü değiştirin.
Göreceksiniz ki fenerin hangi yönde ve hangi hızla gittiğinin Hayaletin
konumu üzerinde hiç bir etkisi yoktur.

Elektromanyetik dalgalar kendilerini yayınlayan kaynağın
hızından ve yönünden bağımsız olarak hareket ederler. Bu konu programın
DENEY kısmında detaylı olarak ele alınmıştır.
Figür 3, IŞIĞIN GİTTİĞİ YOL

Her iki referans sistemi için ışığın gittiği yol farklıdır.

Frame A'nın kendi referans sistemine göre ışık Q noktasına doğru
gitmektedir.

Frame B'nin kendi referans sistemine göre ise, ışık
kendisine G noktasından gelmektedir. Işığın B Frame'inin alanı içinde
gittiğini unutmayalım.
Figür 4, ALICE EŞİTLİĞİ VE V DEĞERİNİN HESAPLANMASI

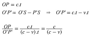
Kayar Çubuğu en solda yani başlangıç konumunda bırakalım.

Eğer frame'ler hareket etmeseydi ışık OP mesafesini t gibi bir
sürede kat ederdi. (OP = c . t)

Merkezi O' noktası olan ve yarıçapı OP mesafesine eşit bir
çember çiziyoruz. Bir doğru ile O'P' noktalarını birleştiriyoruz ve bu
doğruyu uzatarak çemberle buluşturuyoruz (S noktası). O'S mesafesi OP
mesafesine eşit olacaktır. (OP=O'S)

Şimdi kaydırağı sağ tarafa, sonuna getirelim.
GP' mesafesinin OP mesafesine eşit olduğunu biliyoruz. Dolayısıyla
ışık GP' mesafesini aynı t süresinde kat edecektir. (GP'= OP = c . t)
Bu sebeple Frame B'nin bulunduğu konumdan (ışığın varma hedefinden)
yapılan ölçümlerde ışığın hızı daima "c" olarak bulunur.

Öte yandan Frame A için durum farklıdır: Aynı t süresinde
ışık O'P' mesafesini gitmektedir. O'P' mesafesinin OP mesafesinden
küçük olduğunu figürde görüyoruz. (OP = O'S ve OP>O'P'). Frame A'ya
göre ışık O'P' mesafesini aynı t süresinde kat ettiği için;
Frame A'ya göre, Frame B'ye doğru giden ışığın hızı c'= O'P'/t olur.
(Buradaki grafik için konuşuyoruz. c>c' dür).
c' hızı yerine (c' = c-v) yazabiliriz. Böylelikle v değeri ışığın
hızındaki değişim miktarı olur. Buradan hareketle aşağıdaki iki
eşitliği yazabiliriz:

O'P' = c'. t = (c-v).t
P'S= v.t

Sarı renkli ok ile gösterilen P'S mesafesi aradığımız v değerini
verir.
P'S= v . t

Artık Alice Eşitliğini yazabiliriz.

Burada grafik için sağ taraftaki paydada (c-v) şeklinde bir sonuç elde
ettik. Grafiği farklı hareket yönleri için set ettiğimizde, eşitliğin
sağ tarafındaki paydası için (c+v) şeklinde bir sonuç da elde
edebiliriz.


Sarı okun yönü çemberden içeriye doğru ise v değeri (-)
Sarı okun yönü çemberden dışarıya doğru ise v değeri (+) değer alır.

Sayfada üzerindeki Math butonu bu eşitliği özet olarak sunar.

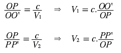
Son olarak framelerin hareket hızlarının OP
mesafesi ile olan ilişkisini de görelim.
Frame'lerin hızlarına V1 ve V2 dersek;
framelerin t süresi boyunca kat ettikleri mesafeler:
OO' = V1.t
PP' = V2.t olur

OP = c.t olduğundan V1, V2 hız değerleri için
aşağıdaki eşitlikler elde edilir;

Alice Eşitliği
Relativitenin
ana konularını teşkil eden olan Zaman Uzaması, Boy Deformasyonu, Eş
Zamanlılık ve Doppler Efekti için burada elde gördüğümüz Alice Eşitliği
temel rol oynar. Bütün relativite etkileri burada oluşumunu gördüğümüz
v değerinin büyüklüğü ile orantılı olarak oluşur.

Kullandığımız
grafik birbirine göre hareketli frame'ler arasında elektromanyetik
etkileşimin nasıl gerçekleştiğini de göstermektedir. Dolayısıyla Alice
Eşitliği hem Relativite Teorisi ve hem de Elektromanyetik Teori için
geçerli ve belirleyici bir eşitliktir.

v değeri ışık hızından sapma miktarını göstermektedir.